根据文献记载,东周时期的社会分化已经明显影响到了食物资源的分配,形成不同社会阶层的食谱特征差异。如《周礼》、《礼记》等描述,贵族阶层的奢华食谱包括了几乎所有可食用的陆生哺乳动物、禽类以及大量水生资源;他们也因此被时人称为“肉食者”。与之形成明显对比的是,《诗经》则反映当时的平民阶层经常食不果腹,常常以野菜为食。然而贵族和平民这两个人群并不能覆盖当时所有的社会阶层,食谱特征也不止食肉与否这么简单。因此文献反映的这种差别虽然提供了有价值的线索,却并不能全面地揭示当时不同阶层的食谱特征。为了进一步探索这个话题,我们在中原地区选取了代表不同社会阶层的东周时期人骨遗存开展稳定碳氮同位素分析,以观察当时不同社会阶层的食谱特征,即吃的问题。
1 鹤壁淇县宋庄贵族及殉人群体
殉人、随葬的青铜礼器和玉器等都表明淇县宋庄东周墓地的墓主的身份比较特殊,显然是贵族阶层。墓葬虽然遭到不同程度的盗扰,贵族和殉人个体的骨骼都得以保存,使我们有机会观察当时这两个阶层的食谱特征。不同地区东周贵族墓葬很多,但是人骨遗存保存都不理想;殉人在当时的身份一直属于比较模糊的——罕见于文献记载,也极少有出土文字材料表明其身份,因此这批材料显得尤为珍贵。
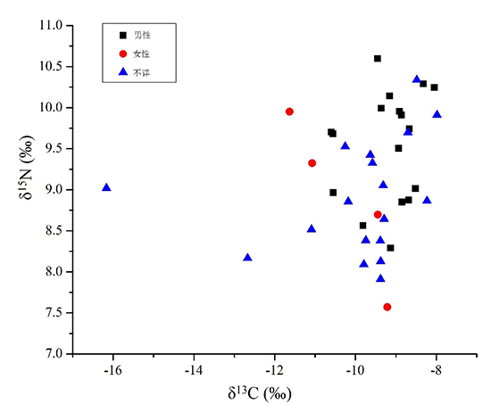
对淇县宋庄人骨遗存的稳定同位素分析过程中,2例贵族个体和24例殉人个体样品产出了合格的骨胶原蛋白,其稳定碳氮同位素比值分布如下图:

淇县宋庄个体稳定碳氮同位素比值分布图(图1)
首先我们能看到的是两个贵族个体在碳氮同位素特征上与殉人群体截然不同:两者的碳氮值在这26个个体中均为最高。说明他们几乎完全以C4作物粟为主粮(粟是此时中国北方唯一大量种植的C4粮食作物),同时食肉水平要远高于殉人群体。而殉人群体中也呈现明显的食谱特征差异,位于分布图左下角的个体不仅碳值较低,氮值甚至低于该墓地动物的平均值7‰。说明这些个体不仅食肉较少,而且还食用了大量的C3类粮食作物。经过分析我们认为此处被殉人阶层大量食用的C3作物只有可能是小麦或者豆类。而这里位于分布图东侧的几个个体,显然食用了大量的粟,并且肉食的摄入也要高于其它殉人,说明殉人阶层内部食谱差异也很大。
殉人和贵族的墓葬编号在图1中均以数字形式标出。通过对比可以看到,M1的5个殉人之间食谱特征差异明显,M9和M19的殉人情况也是如此;M3的3个殉人食谱特征十分接近,M8和M10的情况亦如此。说明同一贵族的殉人中间,食谱特征并不一定完全相同,这可能反应殉人群体内部还存在地位或者待遇的差异。
对这一群体的分析我们可以看到,贵族阶层完全以粟为主粮,食肉水平明显高于殉人;殉人阶层不同程度的食用小麦或豆类,内部差异明显。
2 郑韩故城低等级贵族及城市平民群体
根据随葬器物特征判断,郑韩故城内兴弘花园和热电厂墓地发掘的墓葬可能属于当时的低等级贵族和平民阶层。我们从中选取了75例人骨样品进行分析,其中包括1个低等级贵族(兴弘花园M35,三重棺椁,随葬铜礼器和陶礼器)和74例情况各异的平民阶层。

郑韩故城兴弘花园和热电厂墓地人骨同位素值分布图(图2)

郑韩故城不同葬具的群体同位素特征对比(图3)
分析结果表明(图2)郑韩故城人群食谱特征内部差异十分明显。其中低等级贵族个体的碳值和氮值虽然在整体中不是最高,但是也明显高于绝大部分个体,说明她的食物中粟和肉食比重明显较高。我们根据葬具的差异将这群个体分成三组(两重棺椁以上;单棺/椁;无葬具),进一步对比其食谱特征。结果表明,没有葬具的个体(可能是群人中的最低阶层)碳值要明显低于其他有葬具的个体,说明其食物中小麦的比重明显高于其他人(图3)。而其他人的碳值与较早时期以粟为主粮的人群碳值十分接近,暗示其并没有受到小麦的影响。同时三个不同阶层之间的氮值并没有表现出显著的差异,表明其肉食水平十分接近。
上述差异表明,葬于郑韩故城内的这群东周时期的低等级贵族和城市平民个体中也存在明显的食谱特征分化,他们之中只有最低阶层(连葬具都没有的个体)才大量食用小麦,其他个体仍然以粟为主粮。同时这些个体的食肉水平整体都不高,似乎并没有获益于城市的繁华。
3 温县陈家沟乡村平民群体
出土于温县陈家沟的这群东周个体应当属于当时普通的乡村人群。对其中35例个体的稳定碳氮同位素分析结果表明,他们整体以粟为主粮,食肉水平有限。排除几个数值异常的个体之后,这一群体内部主要差异在氮值上,碳值差异很小(图4)。尽管这群个体在葬具和随葬品上也都存在一定程度的差异,例如葬具有双重棺椁、单棺和无葬具的区别,个别随葬有陶器或者小玉器等,以葬具或随葬品为标准开展的分组同位素特征对比并未发现明显差异。说明这群个体内部的食谱特征差异与经济能力(随葬品或葬具差别反映出来的)并没有直接的关系。

温县陈家沟墓地人骨同位素值分布图(图4)
4 东周不同社会阶层的食谱特征观察
在对上述不同阶层人群的食谱特征进行单独分析之后,现在可以对它们开展综合对比,以观察当时社会分化对食谱特征的影响。
(1)贵族阶层
图5将这里分析的所有140例不同背景的东周个体放在一起进行同位素特征对比。可以非常直观的看出,淇县宋庄的两个贵族个体在碳值和氮值上仍然表现出绝对的优势,进一步肯定贵族阶层不仅食肉水平高于其它人群,主粮中粟的比重也要远高于其他人群。因此这一时期的贵族不仅是文献中记载的“肉食者”,更是“粟食者”。

东周时期不同群体稳定同位素特征对比(图5)

(2)殉人与平民
通过对比发现殉人阶层的同位素值与乡村人群存在显著差异,但是与城市人群非常相似。图5中也能看到,殉人与城市人群的同位素分布特征相似,两个群体与乡村人群的差异非常明显。这种现像反映殉人群体与普通城市人群的食谱特征相近。
据此我们判断这些殉人可能在生前就是随着贵族生活在城市中。虽然与贵族的关系比较近,但是在饮食方面并没有获得太多关照,整体食谱特征或者说生活状况与普通城市人群相似。这从食谱的角度为我们研究殉人阶层的身份背景提供了新线索。
(3)城市人群与乡村人群
以郑韩故城个体为代表的城市人群与以陈家沟个体为代表的乡村人群在同位素特征方面存在显著差异。这种差异主要体现在碳值上:城市人群的碳值明显要低于乡村人群,尤其是最底层个体大量食用小麦的现象在乡村人群中完全没有出现。同时这两个人群的平均氮值非常接近,说明城市人群的食肉水平并不高于乡村人群。
综合这些对比我们可以看到,在东周时期动荡的社会环境下,乡村人群仍然延续着数千年来以粟为主粮的饮食传统,而城市人群则开始不同程度的受到影响——底层个体开始大量食用小麦。同时,两个不同地区人群的食肉水平相似,说明在当时特殊的社会背景下,城市人群的整体生活水平并不优于乡村人群,主粮方面甚至受到更多影响。

5 小结
对中原地区东周时期不同人群的稳定同位素特征对比分析揭示了这一时期吃的问题的复杂性:我们能够确认东周时期的社会分化对不同群体的食物供给造成了直接的影响,并且揭示出了比文献记载更为详细和准确的食谱特征。贵族不仅是“肉食者”,也同时是“粟食者”;殉人阶层与普通城市人群有着相似的食谱,可能生活状况与后者一样;城市人群与乡村人群食谱特征差异明显,城市底层人群开始大量食用小麦,但是乡村人群继续保持传统以粟为主粮的饮食习惯。
需要注意的是,由于中国南北方存在长期的农业传统和饮食习惯差异,这里所观察到的食谱特征差异在同时期的南方可能有不同的表现形式。
注:文中涉及各遗址的详细研究文章分别见于:
1.Zhou, Ligang, Sandra J. Garvie-Lok, Wenquan Fan, and Xiaolong Chu. "Human diets during the social transition from territorial states to empire: Stable isotope analysis of human and animal remains from 770 BCE to 220 CE on the Central Plains of China." Journal of archaeological science: Reports11 (2017): 211-223.
2.Zhou, Ligang, Shugang Yang, Zhaohui Han, Lei Sun, and Sandra J. Garvie-Lok. "Social stratification and human diet in the Eastern Zhou China: An isotopic view from the Central Plains." Archaeological Research in Asia 20 (2019): 100162.
3.周立刚, 韩朝会, 孙蕾, 呼国强. 河南淇县宋庄东周墓地人骨稳定同位素分析——东周贵族与殉人食谱初探[J/OL].人类学学报:1-11[2019-11 23].https://doi.org/10.16359/j.cnki.cn11-1963/q.2019.0017.、

(作者|周大夫 审核|刘海旺)